Roteiro de Corre??o
Prova de F?sica - 18/07/2000
(Cada questão desta prova vale até três pontos)
Justifique suas respostas e, se necessário, utilize os seguintes dados:
| densidade absoluta da água = 1 g/cm3=103kg/m3 |
| aceleração da gravidade = 10m/s2 |
| velocidade da luz no vácuo = 3 x 108 m/s |
| constante universal dos gases perfeitos = 8,31 J/mol K |
| 1 atm = 105 N/m2=76 cm Hg |
| 1 cal = 4,2 J |
| 1 litro = 10-3 m3 |
Questão 01
Uma partícula de massa m = 20 g desce por uma rampa inclinada sem atrito, partindo do repouso de uma altura h = 5 cm em relação à base da rampa. Ao chegar ao final da rampa, a partícula é lançada no ar com uma velocidade de módulo v paralela ao solo. No momento em que a partícula deixa a rampa, um dispositivo a carrega com carga q = 2 C e ela entra numa região de campo magnético uniforme, de módulo B, paralelo ao solo e com direção e sentido tais que a força magnética que atua sobre a partícula tem a mesma direção, mas o sentido oposto à da força peso, que sobre ela atua (veja a figura).

Determine B para que a partícula continue a se deslocar no ar com velocidade constante paralela ao solo. Despreze a resistência do ar.

Questão 02
A explosão de 21,5 kg de tri-nitro tolueno (TNT) libera aproximadamente 9,0 x 107 J de energia. A explosão de uma bomba atômica de 21,5 Megatons, que contém material que pode sofrer fissão, equivale à explosão de uma carga de 2,15 x 1010 kg de TNT. Calcule a perda de massa do material físsil na explosão deste artefato nuclear.

Questão 03
Um praticante de saltos ornamentais, de massa 60 kg, cai a partir do repouso de uma plataforma que está 7,2 m acima do nível da água de uma piscina e mergulha verticalmente na piscina.
a) Calcule a velocidade com que ele atinge a superfície da água, desprezando as forças exercidas pelo ar sobre o corpo do saltador durante a queda.
b) Sabendo que o saltador atinge o repouso após mergulhar verticalmente até a profundidade de 4 m, calcule a força média exercida pela água sobre ele.
c) Se a profundidade da piscina fosse de apenas 3 m, com que velocidade o saltador atingiria o fundo?
Questão 04
A resistência de um chuveiro elétrico é um fio de tungstênio de 1 m de comprimento. O chuveiro funciona em condições normais sob a tensão de 220 V, dissipando uma potência de 4840 W. Suponha que a resistência esteja queimada porque o fio de tungstênio arrebentou. Para "consertar" o chuveiro, uma pessoa despreparada faz uma "emenda", eliminando um pedaço de 10 cm do fio, fazendo o chuveiro funcionar novamente.
a) Calcule a resistência do chuveiro após o "conserto".
b) Calcule a potência dissipada pelo chuveiro após o "conserto".
Questão 05
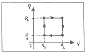
Um mol de um gás ideal inicialmente à pressão P1 = 8,31 x 105 N/m2 e ocupando o volume de V1 = 5 litros, sofre uma expansão isobárica até o volume de V2 = 7 litros. Em seguida sofre uma diminuição de pressão, mantendo seu volume constante, até a pressão P2 = 2 x 105 N/m2. Daí sofre uma contração isobárica retornando a ocupar o volume de 5 litros, para em seguida sofrer um aumento de pressão, mantendo seu volume constante, até a pressão inicial P1.
a) Represente num diagrama PV (pressão x volume) a transformação total sofrida pelo gás do estado inicial até o estado final.
b) Qual a temperatura atingida pelo gás, em Kelvin, após a primeira transformação?
c) Qual o trabalho realizado pelo gás na primeira transformação?
Questão 06
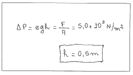
Quando uma pessoa está submersa, a pressão da água se opõe à expansão do tórax e dos pulmões. Suponha que o limite para que uma pessoa consiga respirar sem dificuldades corresponda a uma força resultante máxima de 400 N, aplicada perpendicularmente sobre a superfície do seu tórax. Se a pessoa mergulhar e nadar horizontalmente, usando apenas um tubo vertical para respirar, até que profundidade ela conseguirá respirar sem dificuldades? Considere que a área do tórax da pessoa seja de 0,08 m2.

Questão 07
Num canteiro de obras de uma construção, um guindaste eleva um corpo metálico de massa 400 Kg, na vertical e com velocidade constante, até uma altura de 10m.
a) Faça o diagrama de forças atuantes no corpo, identificando cada uma das forças.
b) Calcule o trabalho realizado pela força aplicada pelo guindaste sobre o corpo para elevá-lo.
c) Após elevar o corpo, o guindaste se desloca na horizontal, com velocidade constante, por uma distância de 20 m. Qual o trabalho da força peso sobre o corpo neste deslocamento? Justifique sua resposta.
Questão 08
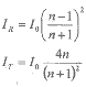
Um raio luminoso, de intensidade I0, incide perpendicularmente a um meio, cujo índice de refração relativo é n. As intensidades refletidas e transmitidas são:
Encontre o valor de IR + IT e dê o significado físico desse resultado.
Questão 09
Num acelerador de partículas, um elétron percorre uma trajetória circular de raio de 10 km e com velocidade escalar de 100.000 km/s. Encontre o número de rotações por segundo que este elétron realiza.
Questão 10
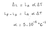
Numa ponte de Wheatstone, substituímos um dos resistores por um fio homogêneo, de seção transversal constante e comprimento LA à temperatura TA = 25 oC (veja a figura, onde G é um galvanômetro). As resistências dos resistores são R1 = 2 W , R2 = 4,2 W e R3 = 2,1 W .

Se o fio for aquecido até a temperatura TP = 225 oC, seu comprimento aumentará para LP, e será necessário alterar o valor da resistência R3 para 2,12 W , para equilibrar a ponte novamente (R1 e R2 são mantidas as mesmas).
a) Encontre a razão entre LP e LA, admitindo que a área transversal do fio e a resistividade do material não foram alteradas.
b) Com base nesse resultado, encontre o coeficiente de dilatação linear do fio.
Fonte: http://www.ufjf.br
Entre na comunidade de notícias clicando aqui no Portal Acessa.com e saiba de tudo que acontece na Cidade, Região, Brasil e Mundo!