segunda fase acontece de 17 a 19 de julho
Roteiro de corre??o
Prova discursiva de Matem?tica - 19/07/2000
Questão 01
Resolva a
equação:
.

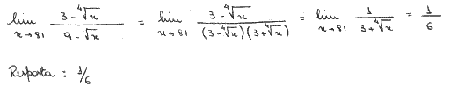
Questão 02
Calcule
.

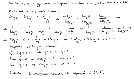
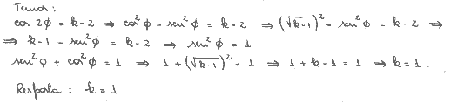
Questão 03
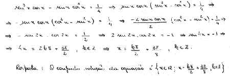
Resolva a equação:
.

Questão 04
A base e a altura de um paralelogramo medem x ? 2 e 2x + 3, respectivamente, e a base e a altura de um triângulo medem x + 1 e 2x, respectivamente, sendo x um número real positivo.
- Determine os valores reais de x para os
quais a área desse paralelogramo seja maior que a área desse
triângulo.

- Determine o menor valor inteiro que x pode
assumir para que a área desse paralelogramo seja maior que a área
desse triângulo.

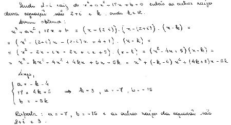
Questão 05
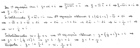
A equação
admite
como raiz, onde
e
são números reais e
é a unidade imaginária. Determine
,
e as outras raízes dessa equação.

Questão 06
Sejam os pontos (0, 0), (1, 0) e (0, 1/2) os vértices de um triângulo no plano cartesiano. Determine a equação da circunferência circunscrita a este triângulo.

Questão 07
Considere os
triângulos representados na figura abaixo, onde
. Determine a área do triângulo ADE.


Questão 08
- Determine
para que exista
tal que
e
. 
- Para
obtido na letra a, determine

Questão 09
- Determine os números complexos
e
, solução do sistema
, sendo
e
seus conjugados, respectivamente. 
- Represente
e
obtidos na letra a, no plano complexo.

Questão 10
Um copo cilíndrico de diâmetro 8 cm e altura 12 cm contém água. Inclinando o máximo possível esse copo, sem derramar a água, obtemos a medida descrita na figura abaixo. Determine o volume de água contida no copo.

Fonte: http://www.ufjf.br
Entre na comunidade de notícias clicando aqui no Portal Acessa.com e saiba de tudo que acontece na Cidade, Região, Brasil e Mundo!